
研究背景
合金化是调控材料性能最常用的方法之一。合金中的原子分布通常被认为是随机的,但近年来随着对复杂多元中高熵合金的深入研究,发现原子仍存在着化学短程序(SRO),并对合金的力学性质有着重要影响,受到了非常广泛的关注。然而,SRO的实验表征十分困难,已有的许多证据都是间接的,因而SRO存在与否仍具争议。作为表征SRO的重要手段之一,X射线漫散射实验曾发现过一个有趣的现象:在倒易空间 Γ 点附近,SRO引起的漫散射强度沿不同方向表现出显著差异,这一行为被称为非解析SRO。先前的研究表明,在面心立方(fcc)合金中,非解析性SRO源于宿主晶格的弹性各向异性以及原子间的长程相互作用。然而,与fcc体系相比,有关体心立方(bcc)合金中非解析性SRO的报道极为罕见,暗示其形成机制可能存在显著差异。深入理解不同合金体系中非解析SRO的本质,将有助于设计具有SRO特征的合金材料,进而实现对合金性能的有效调控。
成果简介
为揭示bcc合金中非解析SRO的差异,西北工业大学张燮教授、李金山教授团队采用严格的理论推导结合第一性原理计算,系统地研究了常见bcc合金中非解析SRO的化学趋势。研究结果表明,bcc合金中非解析性SRO整体较弱,其主要原因是bcc金属(除碱金属外)普遍具有较低的弹性各向异性。若以具有较高弹性各向异性的元素作为基体,或采用特定的合金元素组合,可以显著增强非解析SRO效应。该理论研究为实验验证与合金设计提供了理论指导。
成果以“Chemical trend of nonanalytic short-range order in body-centered cubic alloys”为题发表在金属材料顶级期刊《Acta Materialia》上。论文的第一作者是西北工业大学材料学院本科生漆珏屹,通讯作者是西北工业大学张燮教授、李金山教授等。
论文链接:
DOI:https://doi.org/10.1016/j.actamat.2025.121684.
文章导读
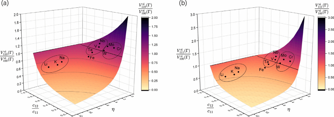
在SRO漫散射强度中,化学相互作用为短程作用,在倒易空间中不引入非解析行为。因此,SRO漫散射的非解析性主要来源于长程应力诱导相互作用的非解析性,而应力诱导相互作用(Vsi)可通过解析推导得出。通过理论推导,研究人员获得了在 Γ 点附近的解析表达式,并进一步给出了反映非解析特性的关键参数,即沿 [111]、 [110] 和 [100] 方向Vsi比值的解析公式。公式表明,非解析性仅与基体弹性各向异性参数(η)和剪切模量有关,而与溶质原子无关。
研究人员将典型bcc金属的弹性常数(c11, c12, c44)代入解析公式,计算得到各金属的非解析性强度。结果表明,除碱金属外,大多数bcc金属的弹性各向异性强度较低,导致其整体非解析性强度偏弱。这一结果为bcc合金中难以观测到非解析性SRO的问题提供了解释。

图1. 典型bcc金属中的非解析性关键参数与弹性各向异性(η)和c12/c11 的关系
为验证理论推导准确性,研究人员采用第一性原理计算对Fe、V掺杂溶质原子体系进行验证。结果表明bcc金属应力诱导相互作用的非解析性较弱,且非解析性不随溶质原子改变,与理论推导高度吻合。

图2. 利用第一性原理计算的(a) Fe-V、(b) Fe-Ti、(c) V-Fe和(d) V-Ti合金的应变诱导相互作用和非解析性。
由于非解析性的特征由晶格弹性常数直接决定,极易拓展至复杂的bcc中高熵合金。研究人员系统梳理了文献中已报道的bcc中高熵合金,并计算了其对应的非解析性强度。结果表明,尽管大多数bcc中高熵合金的非解析性较弱,但在某些特定组分中仍可能表现出较强的非解析行为。

图3. 多种体心立方中高熵合金在Γ点处应变诱导相互作用的取向依赖性。
总 结
该研究通过解析推导,阐明了bcc合金中非解析性SRO的起源,并系统揭示了其在不同合金体系中的化学趋势。研究指出,bcc合金中非解析性的强弱取决于基体晶格的弹性性质,特别是弹性各向异性。与面心立方结构不同,大多数体心立方元素(除碱金属外)表现出较弱的弹性各向异性,这直接导致了其较弱的非解析性,从而解释了相关实验观测的匮乏。鉴于X射线漫散射实验复杂且成本高昂,该理论研究可为筛选出具有显著非解析效应的合金体系提供指导,有助于选择合适体系进行实验验证,最终为通过调控短程有序设计高性能bcc合金奠定了理论基础。
通讯作者简介
◼ 张燮 教授
西北工业大学教授,2015年取得德国马普钢铁研究所和鲁尔波鸿大学博士学位(导师:Jörg Neugebauer教授)。曾先后在德国马普钢铁研究所和美国加州大学圣芭芭拉分校材料系(合作导师:Chris G. Van de Walle院士)从事博士后研究。入选国家海外高层次青年人才计划(2020)与陕西省三秦人才引进计划青年项目(2024),主持国家自然科学基金面上项目与重大研究计划培育项目。近年来在Nature Materials, Nature Communications, Nature Computational Science, Science Advances, Physical Review Letters, Journal of the American Chemical Society, Angewandte Chemie, Advanced Energy Materials, Advanced Functional Materials, Advanced Science, Acta Materialia等国际一流期刊发表研究论文70余篇。
◼ 李金山 教授
西北工业大学教授,博士生导师,凝固技术国家重点实验室主任、国家重点研发计划首席科学家、国家级领军人才、国务院政府特殊津贴专家,中国材料研究学会凝固科学与技术分会理事长,中国机械工程学会铸造分会副理事长,中国航空学会材料工程分会副主任委员。研究领域包括定向凝固技术、熔体处理及与组织超细化、块体非晶/纳米晶金属材料、稀有金属材料、高温合金、功能材料以及复合材料等。承担国家重点研发计划、民机科研、国家自然科学基金重点等项目50余项,其中在高温合金与铁合金领域牵头千万级科研与产业化项目3项。在国内外学术期刊发表论文300余篇,合著专著5部。获授权国家发明专利100余项,培养博士、硕士研究生130余名。获国家级教学成果奖一等奖1项、二等奖1项,国防科技一等奖1项、二等奖1项,其他省部级一等奖4项、二等奖2项。
图文 | 张燮
责编 | 何峰
审核 | 禹亮